学校主页
 您现在的位置: 本站首页 > 学生工作 > 学生典型 > 正文
【三全育人】我院学生勇攀科研高峰,齐心协力共发高水平学术论文
浏览数:次 发布时间:2024-06-25 打印本页

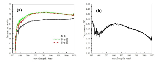
20245月,材料学院新能源材料与器件专业20级学生欧顺,欧景校等多位同学在吕铁铮博士的指导下取得了实验上的重要突破并在Ceramics International SCI一区)期刊上发表了题为《Improving the light transmission of silica glass using silicone as an anti-reflection layer for solar panel applications》的学术论文。该文章创新地引入有机硅作为太阳能电池板的减反层,结构如图1所示。该课题的成果不仅使光伏玻璃表面具有较好的热稳定性,同时相较于原有的基础上,在400~1100nm 波长范围整体提高了约1%的透光率。该研究成果对进一步提高光伏应用端转换效率,降低发电成本有着实际的指导意义。

1 研究成果在爱思唯尔的ceramics international(一区期刊)上发表


2 实验流程示意图

3 研究成果效果图

我院新能源专业的学生在指导教师的带领下在科研领域屡获突破。本篇论文除欧顺,欧景校两位共同一作以外,还有刘俊杰等多位同学的共同努力。我院不仅注重于培养学生的科研素养,同时对于学生的创新能力也十分重视。近年来,该团队在互联网+大学生创新创业大赛,挑战杯大赛等创新创业赛事上也频传佳绩。

长期以来,我院认真贯彻落实以学生为本,以兴趣为指引,注重培养学生的综合素质,积极倡导学生参加教师科研项目并申报相关创新创业训练计划,为有兴趣有毅力的同学提供实验室平台,切实提升学生的动手能力与创新能力以学促长以学促创,为培养更多的创新性应用型人才而努力。

(图文/欧景校  审稿人/一审:吕铁铮  二审:黄建平 三审:罗建新)




版权所有@中国·304永利永利集团(股份)有限公司-官方网站 | 地址:湖南省衡阳市珠晖区衡花路18号 | 邮编:421002

湘教QS3-200505-000096 | 湘ICP备 11007652号  304永利集团官网智慧校园建设与管理中心维护